1.Mathematical Induction
1.Mathematical Induction
David M.Burton - Seventh Edition
Theorem 1.1. Well-Ordering Principle
Well ordering axiom for $\mathbb{N}$
S : non empty subset of {0,1,2 …}
$\Rightarrow$ S has the smallest element in S
($\Leftrightarrow$ There exists a $\in$ S such that a $\le$ b for all b $\in$ S)
$ \exists a\in S \text{ s.t. } \forall b \in S , a\le b $
Theorem 1.2. First Principle of Finite Induction
수학적 귀납법의 증명
$ \text{Assume that } S\subseteq \mathbb{N} \text{ satisfies}$
$\text{(a)} 1\in S$
$\text{(b)} k \in S \text{, then } k+1 \in S$
$ \text{Then } S = \mathbb{N}$
pf
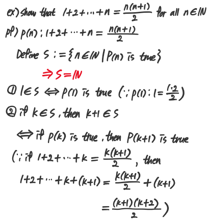
ex
1.2. Binomial Theorem
식만 기억해도 된다
정리
- 자연수는 Well-ordering Axiom 성립
- 이 성질을 이용해서 induction argument를 증명 (중요)
- 이 induction argument 이용해서 어떤 식을 설명할 수 있었음
- binomial theorem
연습문제
This post is licensed under CC BY 4.0 by the author.

