2.3.2.The Greatest Common Divisor
2.3.2.The Greatest Common Divisor
Definition
- Let $a,b\in \mathbb{Z} $. The greatest common divisor of a and b is the positive integer d satisfying
- $ d \mid a \text{ and } d\mid b$ (common divisor)
- $ \text{if } c \mid a \text{ and } c \mid b \text{ ,then } c \le d $ (greatest)
In this case we write $d=gcd(a,b)$
How can we find the value of gcd(a,b)?
- Find all positive divisors of a and b
- Find all common divisors
- Choose the greatest one
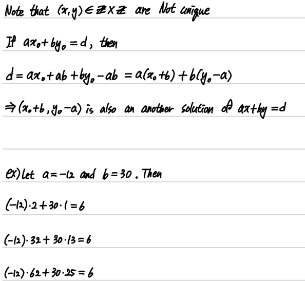
some value of -12x + 30y for $ x,y \in \mathbb{Z}$
observation
- There exist $ x,y \in \mathbb{Z}$ such that $-12x +30y = 6$
- 어떤 정수 x,y가 존재해서 결과 6이 항상 성립하는가? - 증명해볼것
- Each number is multiples of 6.
- $\because -12x+30y = 6(-2x+5y)$
- 모든 수가 6의 배수다. 6으로 묶으면 되므로 쉽게 알 수 있다.
Recall : $gcd(-12,30) = 6$
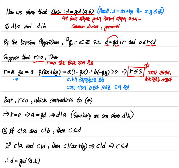
Theorem 2.3.
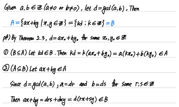
Given $a,b \in \mathbb{Z} \left(a \neq 0 \text{ or } b\neq 0 \right), \text{let } d=gcd(a,b) $
$ \Rightarrow $ There exists $x,y \in \mathbb{Z}$ such that $ax+by = d$
표의 숫자는 유일하지 않음
$ax+by=d$ 식에서 $ab$ 를 더하고 빼면 다른 답을 얻을 수 있다.
pf
그래서 $ax+by$ 는 최대공약수가 되는 $x,y$가 항상 존재한다.
Corollary 2.3.
$ \{ax+by \mid x,y \in \mathbb{Z}\} = \{kd \mid k \in \mathbb{Z}\} $
표의 모든 숫자 $(ax+by)$ 는 $a,b$의 최대공약수의 배수들로 이루어진 숫자이다.
정리
그래서 이전의 표에 최대공약수가 나오는것은 우연이 아니며, 표의 숫자는 최대공약수의 배수가 된다.
- definition of $gcd(a,b)$
- compute the value of $gcd(a,b)$
- $ \text{(Theorem 2.3.) there exist } x,y \in \mathbb{Z} \text{ such that } ax + by = d $
- $ \text{(Corollary 2.3.) } \{ax+by \mid x,y \in \mathbb{Z}\} = \{kd \mid k \in \mathbb{Z}\} $
This post is licensed under CC BY 4.0 by the author.




