2.Divisibility theory in the integers
2.Divisibility theory in the integers
Theorem 2.1. Division Algorithm
pf
Corollary
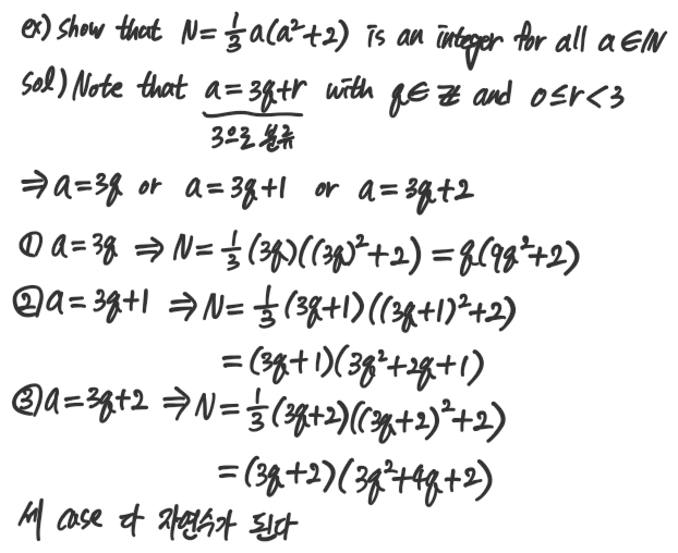
ex
Let a=61 and b=-7
then 61 = (-8)(-7) + 5, hence q = -8 and r = 5
Division Algorithm 에서 나오는 even, odd number
모든 정수는 이 둘중 하나로 표현이 된다는 것
ex
정리
- division algorithm
- $\text{a = qb + r with } 0 \leq r < b $
- 증명은 자연수의 Well-Ordering principle 로부터 나온다
- division algorithm 이용해서 정수를 분류해서 풀수 있는 문제가 있었다.
Problems 2.2
꼭 풀도록 하자…
This post is licensed under CC BY 4.0 by the author.




